有关钳形万用表现场测试电能与与电流互感器的简单方法,用便携式钳形万用表现场检测电流互感器变化、电能表误差,简单方便,判断准确。
钳形万用表现场测试电能表与电流互感器
用便携式钳形万用表现场检测电流互感器变化、电能表误差,简单方便,判断准确。
在不拆动任何原线路和不影响供电情况下,能迅速测讯出电流又感器变比和电能表每分钟盘转数准确度。这是用电营业检查的一项技术性反窃电措施。
分路是:用便携式钳形万用表交流档现场测试。首先,测得一次负荷电流和经CT变比后的二次电流,然后根据测试数据。经简单运算.马上得出CT变比和电能表误差系数。
测试CT变比计算公式n=I1/I2。
式中 n——CT倍率
I1——被测—次负荷电流
I2——被测CT二次电流
例1:计算CT变比。
某一计量箱CT变比标尺150/5,用钳形多用表现场测得负荷电流为90A。二次电流为2A,计算CT变比。
①计算CT实际倍数:
代入公式 n′=I1/I2=90/2=45
已知原标定CT变比为n=150/5=30倍率。但通过观场测试计算该CT实际倍率是45倍。
可见原变比标值150 / 5有可能不对.或计量接线有错误,待进—步检查。
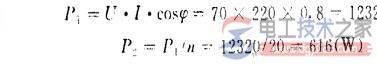
例2:计算电能表盘转数。某—计量箱电能表为单位5A(三只计量三相四线),额定电压220V,常数为1200转/kW。h·CT为100/ 5,用钳形表现场测得某—相一次电流70A。那么—分钟内现场观察电能表转38圈,计算该表应转几圈。(功率因数取0.8)
① 计算CT一、二次侧功率P

②计算电能表1瓦1分钟盘转数
解:已知每千瓦时1200转。那么:1W1分钟内的盘转数是n=1200(1000×60)=0.02(周)
③在该负荷下电能表应转几周
n=616×0.02=12.32(周)
根据现场负荷测算该表1分钟内应转12.32周。而现场观察在1分钟内电能表只转了8周。这样该表漏计电量35%。
通过上述方法,可以有效地防止五花八门的技术窃电手段。
例如:私自更换CT内芯,增大变比、改变CT二次线圈匝数、减小二次输出电流;短接CT二次线圈匝数,使二次输出电流减少,把电能表调负等。