有关半导体二极管的直流电阻与动态电阻的区别,二极管的直流等效电阻,二极管的低频小信号等效,二极管伏安特性,二极管的动态电阻等,感兴趣的朋友参考下。
直流电阻与动态电阻的区别
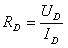
半导体器件是一种非线性器件,它对直流和交流(或说动态量)呈现出不同的等效电阻。二极管的直流电阻是其工作在伏安特性上某一点时的端电压与其电流之比,如图1。

图1 二极管的直流等效电阻
(a)电路(b)二极管伏安特性和工作点Q(c)二极管的直流电阻
图2所示电路中,在直流电源V的作用下,对应于二极管电流ID和二极管两端电压UD的点称为静态工作点,如图(b)中所注,该点对应的直流电阻为

(1)
动态电阻是在一个固定的直流电压和电流(即静态工作点Q)的基础上、由交流信号ui引起特性曲线在Q点附近的一小段电压和电流的变化产生的。
如果该交流信号ui是低频,而且幅度很小(通常称低频小信号),则由此引起的电流变化量也很小,则这一小段特性曲线可以用通过Q点的切线来等效。

(a)电路(b)二极管伏安特性(c)二极管的动态电阻
图2:二极管的低频小信号等效
如图2所示的电路中,若在Q点的基础上外加微小的低频信号,二极管两端产生的电压变化量和电流变化量如图(b)中所标注,则此时的二极管可等效成一个动态电阻rd,如图(c)所示。根据二极管的电流方程可得
Q点附近 (2)
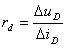
rd是用以Q点为切点的切线斜率的倒数。显然,而Q点在伏安特性上的位置不同,rd的数值将不同。根据二极管的电流方程

可得:
因此
(3)
ID为静态电流,常温下UT=26mV。从式(3)可知,静态电流ID越大,rd将越小。设UD=0.7V时,ID=2mA。由此可得直流电阻RD=350 而按式(3)可得动态电阻(交流电阻)
,二者相差甚远,切不可混淆。
因此,当用普通万用电表的电阻档对二极管进行测量时,所测到的电阻值应该表示二极管的动态电阻还是直流电阻。