最全的功率计算公式,电工学功率公式大全


最全的功率计算公式,电工学功率公式大全

功率包括电功率、机械功率。

电功率又包括直流电功率、交流电功率和射频功率;交流功率又包括正弦电路功率和非正弦电路功率;机械功率又包括线位移功率和角位移功率,角位移功率常见于电机输出功率;电功率还可分为瞬时功率、平均功率(有功功率)、无功功率、视在功率。

在电学中,不加特殊声明时,功率均值有功功率。在非正弦电路中,无功功率又可分为位移无功功率,畸变无功功率,两者的方和根称为广义无功功率。

以下是所有功率计算公式,文中p(t)指瞬时功率。u(t)、i(t)指瞬时电压和瞬时电流。U、I指电压、电流有效值,P指平均功率。

1、普遍适用的功率计算公式

在电学中,下述瞬时功率计算公式普遍适用
p(t)=u(t)i(t)   (1)
在力学中,下述瞬时功率计算公式普遍适用
p(t)=F(t)v(t)  (2)
在电学和力学中,下述平均功率计算公式普遍适用
P=W/T          (3)
W为时间T内做的功。
在电学中,上述平均功率P也称有功功率,P=W/T作为有功功率计算公式普遍适用。
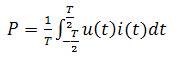
在电学中,公式(3)还可用下述积分方式表示
最全的功率计算公式,电工学功率公式大全(4)
其中,T为周期交流电信号的周期、或直流电的任意一段时间、或非周期交流电的任意一段时间。电学中,公式(3)和(4)的物理意义完全相同。
电学中,下述视在功率计算公式普遍适用:
S=UI

2、直流电功率计算公式

P=UI
P=U2/R
P=I2R

3、正弦交流电功率计算公式

无功功率计算公式:
Q=UIsinφ
有功功率计算公式:
P=UIcosφ
正弦电流电路中的有功功率、无功功率、和视在功率三者之间是一个直角三角形的关系:
P2+Q2=S2
当负载为纯电阻时:
Q=0,S=P
直流电功率计算公式同样适用。