电气设备绝缘检测与绝缘试验的测量标准
为何要进行电气设备绝缘检测与绝缘试验?下面是(电工天下 www.dgjs123.com)小编的总结,一起来看看。
绝缘检测与绝缘试验,主要用于检查电气设备或线路的绝缘指标是否符合要求。
绝缘检测和绝缘试验主要包括绝缘电阻试验、耐压试验、泄漏电流试验和介质损耗试验等。
1、绝缘电阻试验
绝缘电阻是衡量绝缘性能的最基本指标。
通过绝缘电阻的测定,可以在一定程度上判定某些电气设备的绝缘好坏,判断某些电气设备(如电机、变压器)的受潮情况等,以防因绝缘电阻降低或损坏而造成漏电、短路、电击等电气事故。
绝缘材料的电阻常用兆欧表(摇表)测量。
兆欧表主要由作为电源的手摇发电机(或其他直流电源)和作为测量机构的磁电式流比计(双动线圈流比计)组成。
测量时,实际上是给被测物加上直流电压,测量其通过的泄漏电流,在表的盘面上读到的是经过换算的绝缘电阻值。
在同一转轴上装有两个交叉的线圈,当两线圈通有电流时,两个线圈分别产生互为相反方向的转矩。【电气设备的绝缘检测与绝缘试验的测量标准】
其大小分别为
M1 = K1f1(α)I1
M2= K2f2(α)I2
式中,K1、K2为比例常数;I1、I2表示通过两个线圈的电流;α是线圈带动指针偏转的偏转角。 (www.dgjs123.com)
当M1≠M2时,线圈转动,指针偏转。当M1=M2时,线圈停止转动,指针停止偏转,且两电流之比与α偏转角满足如下的函数关系,即

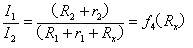
在接入被测电阻Rx后,构成了两条相互并联的支路,当摇动手摇发电机时,两个支路分别通过电流I1和I2。可以看出

考虑到两电流之比与偏转角满足的函数关系,不难得出 α =f(Rx)。 【电气设备的绝缘检测与绝缘试验的测量标准】
可见,指针的偏转角α仅仅是被测绝缘电阻Rx的函数,而与电源电压没有直接关系。
2、吸收比的测定
吸收比是加压测量开始后 60S时读取的绝缘电阻值与加压测量开始后15S时读取的绝缘电阻值之比。
吸收比测量的目的是判断绝缘材料受潮程度和内部有无缺陷。
因此,高压变压器、电动机和电力电容器等都应按规定测量吸收比。
3、绝缘电阻指标
绝缘电阻随线路和设备的不同,其指标要求也不一样。
一般,高压较低压要求高;新设备较老设备要求高;室外设备较室内设备要求高;移动设备较固定设备要求高等。
绝缘电阻应按规定进行定期测量,电动机的测量周期为1年,其它低压设备或线路为1—2年。