有关频率公式的知识,频率的计算公式与使用方法,频率是单位时间内某事件重复发生的次数,衡量声音、电磁波(例如无线电波或者光)、电讯信号或者其他波的频率时,表示每秒波形重复的数量。
频率的计算公式
频率是单位时间内某事件重复发生的次数,在物理学中通常以符号 f 或 ν 表示。
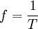
采用国际单位制,其单位为赫兹(Hz)。设 τ 时间内某事件重复发生 n 次,则此事件发生的频率为 f = n / τ 赫兹。又因为周期定义为重复事件发生的最小时间间隔,故频率也可以表示为周期的倒数:
1、频率公式

其中,T 表示周期。
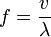
2、波的频率公式
衡量声音、电磁波(例如无线电波或者光)、电讯信号或者其他波的频率时,表示每秒波形重复的数量。如果波是声音,频率衡量音符的特性。
频率与波长成反比例关系。 频率 f 等于波的速度 v 除以波长 λ :

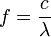
3、真空电磁波的频率公式
在真空中电磁波的速度是真空中的光速 c ,方程就变成:

图4,频率公式
当波从一种介质传入另一种介质,频率不变,而波长和相速度会变。